小编为大家整理好了2015 年二级建造师考试真题 《建设工程施工管理》答案4, 备考2020年 二级建造师考试, 需要大家勤奋刻苦。 学如逆水行舟,不进则退。2020年 二级建造师考试备考正在紧张进行,考生们要找到适合自己的备考方法,认真备考复习。

二级建造师考试练习题。16、关于施工平行发承包模式下进行控制的说法,正确的是()。
A.需全部施工图完成后才能进行招标,对进度控制不利
B.业主用于平行发包的招标次数少,有利于进度控制
C.部分施工图完成后即可进行该部分的招标,有利于缩短建设周期
D.业主直接协调不同单位承包的工程进度,因此业主的进度控制风险小
【标准答案】C
【答案解析】本题考查的是施工平行发承包模式,选项A,某一部分施工图完成后,即可开始这部分工程的招标:选题B,由于进行多次招标名业主用于招标的时间较多:选项D,业主直接抓各个施工单位似乎控制力度大,但矛盾集中,业主的管理风险大,参见教材P217.
17.根据质量事故处理的一般程序,经事故调查及原因分析,则下一步应进行的工作是()。
A.制定事故处理方案
B.事故的责任处
C.事故处理的鉴定验收
D.提交处理报告
【标准答案】A
【答案解析】本题考查的是施工质量事故的处理程序。施工质量事故的处理程序:(1)事故调查;(2)事故的原因分析;(3)制订事故处理的方案;(4)事故处理;(5)事故处理的鉴定验收;123建造师网 (6)提交处理报告。参见教材P174.
18.施工定额的研究对象是同一性质的施工过程,这里的施工过程是指()。
A.工序
B.分部工程
C.分项工程
D.整个建筑物
【标准答案】A
【答案解析】本题考查的是施工定额。施工定额是以同一性质的施工过程——工序,作为研究对象,是施工企业组织生产和加强管理在企业内部使用的一种定额。参见教材P68.
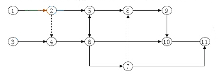
19、根据双代号网络图绘图规则,下列网络图中的绘图错误有()处。

A .5
B.4
C.3
D.2
【标准答案】B
【答案解析】本题考查的是双代号网络计划的绘图规则。错误:(1)有①③两个开始节点,(2)⑤⑥之间有双向箭头。(3)⑩?之间的连线无箭头;(4)无终点节点。参见教材P133。
20、根据《建设工程施工现场管理规定》,施工单位采取的防止环境污染的措施,正确的是()。
A.将有害废弃物用作土方回填
B.现场产生的废水经沉淀后直接排入城市排水设施
C.使用密封式圈桶处理高空废弃物
D.在现场露天焚烧油毡
【标准答案】C
【答案解析】本题考查的是环境保护的技术措施。本题根据排除法可选出正确答案,环境保护的技术措施:
(1)妥善处理泥浆水,未经处理不得直接排入城市排水设施和河流;
(2)除设有符合规定的装置外,不得在现场熔融沥青或者焚烧油毡、油漆以及其他会产生有毒有害烟尘和恶臭气体的物质;
(3)使用密闭式的圈筒或者采取其他措施处理高空废弃物;
(4)采取有效措施控制施工过程中的扬尘;
(5)禁止将有毒有害废弃物用作土方回填;
(6)对产生噪声、振动的施工机械,应采取有效控制措施,减轻噪声扰民。参见教材P27.
鸟欲高飞先振翅,人求上进先读书。 二级建造师考试模拟题为大家整理好了, 大家快来检测学习成果吧, 希望能够帮助大家轻松备考,预祝大家能够在考试中顺利通关,在2020年顺利取得 二级建造师证书,步入这一行业。